Testosterone Graph: Endocrine response to masturbation-induced orgasm in healthy men following a 3-week sexual abstinence

This ABSTRACT Endocrine response to masturbation-induced orgasm in healthy men following a 3-week sexual abstinence, where subjects didn’t ejaculate for 3 weeks, is often cited as evidence that abstinence leads to increased testosterone. It doesn’t.

This sentence from the abstract is poorly worded and misleading:

although plasma testosterone was unaltered by orgasm, higher testosterone concentrations were observed following the period of abstinence“.

In the full study, (this graph) testosterone levels are the same in both groups.

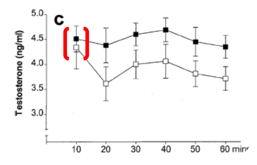
  • White squares: Masturbation & porn viewing just prior to the 3-week abstinence.
  • Black squares: Masturbation & porn viewing to end the 21 days of abstinence.
  1. 10 minutes: BASELINE TESTOSTERONE MEASUREMENTS
  2. 20 minutes: Getting ready to to masturbate/watch porn
  3. 30 minutes: Watching porn & masturbating
  4. 40 minutes: Around orgasm
  5. 50 and 60 minutes: Recovery

You can clearly see that testosterone levels were nearly identical at 10 minutes, the first measurement. At 20 minutes, the abstinent group declined just a teeny bit, while the pre-abstinent group experienced a significant decline.

When the abstract says: higher testosterone concentrations were observed following the period of abstinence” – it is actually stating that abstinence prevented a drop in testosterone while watching porn and masturbating.